The photos you provided may be used to improve Bing image processing services.
Privacy Policy
|
Terms of Use
Can't use this link. Check that your link starts with 'http://' or 'https://' to try again.
Unable to process this search. Please try a different image or keywords.
Try Visual Search
Search, identify objects and text, translate, or solve problems using an image
Drag one or more images here,
upload an image
or
open camera
Drop images here to start your search
To use Visual Search, enable the camera in this browser
All
Search
Images
Inspiration
Create
Collections
Videos
Maps
News
More
Shopping
Flights
Travel
Notebook
Top suggestions for Continuity of Functions of Two Variables
The End Behavior
of a Polynomial Function
Polynomial Function
Graph End Behavior
Polynomial End
Behavior Chart
Polynomial End Behavior
Cheat Sheet
How to Determine End Behavior of Polynomial
How to Find the End Behavior of a Polynomial
End Behavior
Model
End Behavior
of Functions
Polynomial End Behavior
Worksheet
How to Know the End Behavior of a Polynomial
What Is End
Behavior
How to State the End Behavior of a Polynomial
Graphing End
Behavior
How to Tell End Behavior of Polynomial
How to Describe End Behavior
of a Polynomial
Polynomial End
Behavior Rules
End Behavior
Pre-Calc
Polynomial End Behavior
in Spanish
Negative Even
End Behavior
End Behavior
Definition
End Behavior
Equation
End Behavior
Algebraically
Odd and Even
End Behavior
End Behavior
Algebra 2
Describing End
Behavior
Polynomial Leading
Term
Polynomial End
Behavior Table
End Behavior of
a Cubic Function
Determining
End Behavior
Third-Degree
Polynomial
Exponential Function
End Behavior
End Behaviour
Polynomial
Finding the End Behavior of a Polynomial
Long Run Behavior
of a Polynomial
End Behavior Model
Calculus
Linear Function
End Behavior
Odd Positive End
Behavior
Sketch the End Behavior of the Polynomial
Polynomial End Behavior
Examples
End Behavior
Diagram
Polynomial End Behavior
Chart Printable Summary
End Behavior Math
Example
End
Behaviours
2nd Degree
Polynomial
Describe the End Behavior of Each Polynomial
Polynomial Leading
Coefficient
Polynomial End Behavioral
Example
Match Polynomial
and End Behavior
Determine End Behavior Based
of Polynomial
End Behavior
Theorem
Explore more searches like Continuity of Functions of Two Variables
Answer
Key
How
Find
How
Identify
Cheat
Sheet
Even vs Odd
Degree
Definition
Spanish
Functions
Video
How
State
What Does
It Mean
Format
Equations
How
Write
Describe
Whats
Describing
6th
Degree
How
Predict
Functions
Examples
How Do You
Find
People interested in Continuity of Functions of Two Variables also searched for
Interval
Notation
Functions
PDF
Equation
Constant
Example
Sketch
How
Solve
How
Determine
What Is
Multiplicity
Demonstrate Four
Options For
Autoplay all GIFs
Change autoplay and other image settings here
Autoplay all GIFs
Flip the switch to turn them on
Autoplay GIFs
Image size
All
Small
Medium
Large
Extra large
At least... *
Customized Width
x
Customized Height
px
Please enter a number for Width and Height
Color
All
Color only
Black & white
Type
All
Photograph
Clipart
Line drawing
Animated GIF
Transparent
Layout
All
Square
Wide
Tall
People
All
Just faces
Head & shoulders
Date
All
Past 24 hours
Past week
Past month
Past year
License
All
All Creative Commons
Public domain
Free to share and use
Free to share and use commercially
Free to modify, share, and use
Free to modify, share, and use commercially
Learn more
Clear filters
SafeSearch:
Moderate
Strict
Moderate (default)
Off
Filter
The End Behavior
of a Polynomial Function
Polynomial Function
Graph End Behavior
Polynomial End
Behavior Chart
Polynomial End Behavior
Cheat Sheet
How to Determine End Behavior of Polynomial
How to Find the End Behavior of a Polynomial
End Behavior
Model
End Behavior
of Functions
Polynomial End Behavior
Worksheet
How to Know the End Behavior of a Polynomial
What Is End
Behavior
How to State the End Behavior of a Polynomial
Graphing End
Behavior
How to Tell End Behavior of Polynomial
How to Describe End Behavior
of a Polynomial
Polynomial End
Behavior Rules
End Behavior
Pre-Calc
Polynomial End Behavior
in Spanish
Negative Even
End Behavior
End Behavior
Definition
End Behavior
Equation
End Behavior
Algebraically
Odd and Even
End Behavior
End Behavior
Algebra 2
Describing End
Behavior
Polynomial Leading
Term
Polynomial End
Behavior Table
End Behavior of
a Cubic Function
Determining
End Behavior
Third-Degree
Polynomial
Exponential Function
End Behavior
End Behaviour
Polynomial
Finding the End Behavior of a Polynomial
Long Run Behavior
of a Polynomial
End Behavior Model
Calculus
Linear Function
End Behavior
Odd Positive End
Behavior
Sketch the End Behavior of the Polynomial
Polynomial End Behavior
Examples
End Behavior
Diagram
Polynomial End Behavior
Chart Printable Summary
End Behavior Math
Example
End
Behaviours
2nd Degree
Polynomial
Describe the End Behavior of Each Polynomial
Polynomial Leading
Coefficient
Polynomial End Behavioral
Example
Match Polynomial
and End Behavior
Determine End Behavior Based
of Polynomial
End Behavior
Theorem
768×1024
scribd.com
04 Limit & Continuity of Functions of Two …
768×1024
scribd.com
CONTINUITY OF FUNCTIONS and C…
768×1024
scribd.com
Continuity of A Function | PDF | Fun…
768×1024
scribd.com
Lesson5 CONTINUITY OF A FUNCTION | …
Related Products
Polynomial Graphs
Degree of Polynomials
Zeros of Polynomial Functions
768×1024
scribd.com
Lesson05 Continuity011slides …
534×262
brainkart.com
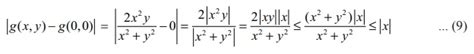
Limit and Continuity of Functions of Two Variables - Mathematics
553×224
brainkart.com
Limit and Continuity of Functions of Two Variables - Mathematics
624×72
brainkart.com
Limit and Continuity of Functions of Two Variables - Mathematics
454×151
brainkart.com
Limit and Continuity of Functions of Two Variables - Mathematics
768×1024
scribd.com
14-Module2-Functions of T…
716×565
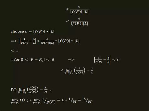
Stack Exchange
calculus - Continuity of a function of two variables - …
400×400
math.stackexchange.com
real analysis - Continuity of a functi…
640×480
slideshare.net
Limit and continuity for the function of two variables | PPTX
Explore more searches like
Continuity of Functions of Two Variables
Answer Key
How Find
How Identify
Cheat Sheet
Even vs Odd Degree
Definition
Spanish
Functions Video
How State
What Does It Mean
Format
Equations
495×640
slideshare.net
Limit and continuity for the function of two var…
638×478
slideshare.net
Limit and continuity for the function of two variables | PPTX
638×478
slideshare.net
Limit and continuity for the function of two variables | PPTX
638×478
slideshare.net
Limit and continuity for the function of two variables | PPTX
638×478
slideshare.net
Limit and continuity for the function of two variables | PPTX
768×1024
scribd.com
Continuity of Functions | PD…
495×640
yumpu.com
14.2. Limits and Continuity of Fu…
700×328
Chegg
Solved Define continuity for a function f of two variables | Chegg.com
1620×1215
studypool.com
SOLUTION: Limits and continuity multi variables function - Study…
1620×1215
studypool.com
SOLUTION: Limits and continuity multi variables f…
750×350
byjus.com
Continuity of a Function - Condition and Solved Examples
1256×366
chegg.com
Solved Let's determine the continuity of a function of two | Chegg.com
2048×1152
slideshare.net
Continuity-of-Functions-BASIC-CALCULUS.pptx
2386×716
realanalysis.blog
20 - Functions - limits and continuity | Real Analysis
1216×1200
realanalysis.blog
20 - Functions - limits and continuity | Real Analysis
1224×1208
realanalysis.blog
20 - Functions - limits and continuity | Real Analysis
1230×1224
realanalysis.blog
20 - Functions - limits and continuity | Real A…
1222×1208
realanalysis.blog
20 - Functions - limits and continuity | Real A…
People interested in
Continuity of Functions of Two Variables
also searched for
Interval Notation
Functions PDF
Equation
Constant
Example
Sketch
How Solve
How Determine
What Is Multiplicity
Demonstrate Four Option
…
300×426
studocu.com
5 Differentiability of functions of two v…
1024×768
askfilo.com
Algebra of Continuous Functions We know that continuity of a function at
1200×1551
studocu.com
Chapter 2.4 Continuity of functio…
591×416
geeksforgeeks.org
Continuity of Functions: Definition, Types, Condition, Examples
Some results have been hidden because they may be inaccessible to you.
Show inaccessible results
Report an inappropriate content
Please select one of the options below.
Not Relevant
Offensive
Adult
Child Sexual Abuse
Feedback